Foreground plně podporuje – RWD, HTML 5.0, Super Galerii a YouTube 2.0 !
Vitamín D
Z Multimediaexpo.cz
Vitamín D (jinak také antirachitický vitamín) je souhrnný název pro steroidní hormonální prekurzory, souhrnně označované též jako kalciferoly. Jsou výchozí látkou pro syntézu kalcitriolu, hormonu, který významně ovlivňuje metabolismus vápníku a fosforu.
Obsah |
Zdroje vitamínu D
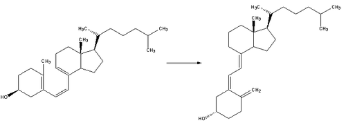
Za normálních okolností se vitamín D tvoří v kůži působením slunečního záření z provitamínu 7-dehydrocholesterolu, derivátu cholesterolu. Ultrafialové záření štěpí B jádro sloučeniny za vzniku cholekalciferolu, tedy vitamínu D3. Tuto schopnost výroby vitamínu v kůži si osvojili suchozemští obratlovci přibližně před 300 milióny let, kdy se přesunuli z oceánu, který byl bohatý na vápník.[1] Syntéza působením slunečního záření by měla stačit na pokrytí až 80 % denní potřeby, v závislosti na zeměpisné šířce a ročním období. V potravinách se cholekalciferol nachází v rybím tuku, játrech, vaječném žloutku a mléce. U rostlin je prekurzorem ergosterol, morfin a rostlinný vitamín D je pak ergokalciferol, neboli vitamín D2.
- Doporučená denní dávka
| věk (roky) | cholekalciferol [μg] | |
|---|---|---|
| Kojenci | 0,0-0,5 | 7,5 |
| 0,5-1,0 | 10 | |
| Děti | 1-3 | 10 |
| 4-6 | 10 | |
| 7-10 | 10 | |
| Muži | 11-14 | 10 |
| 15-18 | 10 | |
| 19-24 | 10 | |
| 25-50 | 5 | |
| 51+ | 5 | |
| Ženy | 11-14 | 10 |
| 15-18 | 10 | |
| 19-24 | 10 | |
| 25-50 | 5 | |
| 51+ | 5 | |
| Těhotné ženy | 10 | |
| Kojící ženy | 10 |
Údaje z Recommended Dietary Allowances, 10th Edition. Food and Nutrition Board, National Research Ccouncil–National Academy of Sciences, 1989
Biologické působení
Jeho význam je v účasti při resorbci vápníku a fosfátu ze střeva a příspívá tak k regulaci a optimalizaci hladiny vápníku a fosforu v krvi. Fosfor i vápník jsou důležité pro stavbu kostí. Vitamín D je proto významný pro uchování kostí silných a nepoškozených.
Syntéza kalcitriolu
|
1. V prvním kroku je 7-dehydrocholesterol štěpen UVB zářením za vzniku provitamínu D3. | |
|
2. Provitamín D3 se spontánně přemění na svůj izomer, cholekalciferol. | |
|
3. Cholekalciferol je vychytáván játry, kde je v endoplasmatickém retikulu hydroxylován enzymem D3-25-hydrolasou. Vzniklý produkt, 25-hydroxycholekalciferol je převažující formou vitamínu D v oběhu a také tvoří většinu jaterních zásob vitamínu. Velká část hydroxycholekalciferolu také přechází do žluči (enterohepatální oběh). 25-hydroxycholekalciferol je dále hydroxylován v ledvinách na biologicky aktivní 1,25-dihydroxycholekalciferol, kalcitriol, který už přímo ovlivňuje metabolismus vápníku. |
Projevy nedostatku
Nedostatek vitamínu D se projeví změknutím kostí v důsledku ztrát a nedostatečné resorbce vápníku a fosfátu. U dětí se toto projeví jako křivice, u dospělých pak jako osteomalacie. Také se projevuje zvýšenou kazivostí zubů.
Předávkování
Ve vysokých dávkách vitamín D naopak metabolismus vápníku a fosforu narušuje, vede k hyperkalcémii a může skončit i smrtí. Samotné sluneční záření kvůli regulačním mechanismům syntézy nikdy nevede k hypervitaminose.
Reference
- ↑ UV paprsky: riziko rakoviny proti riziku deficitu vitamínu D [online]. [cit. 2008-10-24]. Dostupné online.
- MURRAY, Robert K., et al. Harperova biochemie. Z angl. 23. vyd. přel. Lenka Fialová et. al. 4. vyd. v ČR. Praha: H & H, 2002. ix, 872 s. ISBN 80-7319-013-3.
Externí odkazy
- (anglicky)Vitamin D deficiency
- (slovensky)Svět zachvátila epidemie nedostatku vitamínu D
| Vitamíny |
|---|
|
Rozpustné ve vodě: B1 • B2 • B3 • B5 • B6 • B9 • B12 •
C • H (B7) |
| Náklady na energie a provoz naší encyklopedie prudce vzrostly. Potřebujeme vaši podporu... Kolik ?? To je na Vás. Náš FIO účet — 2500575897 / 2010 |
|---|
| Informace o článku.
Článek je převzat z Wikipedie, otevřené encyklopedie, do které přispívají dobrovolníci z celého světa. |
