The final launch of the Allmultimedia.org will take place on February 24, 2026
(shortly after the 2026 Winter Olympics).
Chitin
Z Multimediaexpo.cz
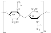
Chitin je polysacharid složený z molekul N-acetyl-D-glukosaminu, které jsou 1,4-β-glykosidickou vazbou, vedle celulózy je nejrozšířenějším polysacharidem na Zemi. Chitin je hlavní složkou kutikuly členovců, která je u některých (např. u hmyzu, krabů, raků apod.) pomocí minerálních látek zpevněna a přeměněna (impregnována) v exoskelet (pevnou vnější kostru). Chitin spolu s beta-polyglukany také tvoří buněčnou stěnu hub (říše Fungi). Chemicky je velmi podobný celulóze, pouze má na uhlíku C2 místo hydroxylové skupiny navázanou skupinu acetamidovou.
Využití v lékařství
Díky své houževnatosti, tvrdosti a snadné biodegradaci se využívá v některých chirurgických pomůckách.
Související články
| Náklady na energie a provoz naší encyklopedie prudce vzrostly. Potřebujeme vaši podporu... Kolik ?? To je na Vás. Náš FIO účet — 2500575897 / 2010 |
|---|
| Informace o článku.
Článek je převzat z Wikipedie, otevřené encyklopedie, do které přispívají dobrovolníci z celého světa. |
