The final launch of the Allmultimedia.org will take place on February 24, 2026
(shortly after the 2026 Winter Olympics).
Nukleotid
Z Multimediaexpo.cz
Nukleotidy jsou fosforylované nukleosidy, tedy látky složené z nukleové báze (nejčastěji purinové nebo pyrimidinové), pětiuhlíkatého monosacharidu (ribosa nebo deoxyribosa) a jedné nebo více zbytků kyseliny fosforečné. Jsou stavebními kameny nukleových kyselin a kofaktorů, které v buňce přenášejí energii (konkrétně Gibbsovu energii), účastní se procesů biologických syntéz (mj. kondenzačních reakcí) a buněčné komunikace.
Obsah |
Názvosloví
Názvosloví nukleotidů odpovídá stavbě daného nukleotidu: například adenosinmonofosfát je nukleotid skládající se z adenosinu, nukleosidu tvořeného bází adeninem a ribosou, a jednoho fosfátu. Umístění fosfátové skupiny v nukleotidech se značí číslicí s čárkou ('). Například adenosin-3'-monofosfát znamená, že fosfátová skupina je navázána na třetím atomu ribosy. Nejčastěji je fosforylován uhlík číslo 5, proto se v tomto případě označení vynechává. Adenosin-5'-monofosfát = adenosinmonofosfát. Podle toho, zda obsahují nukleotidy ribózu nebo deoxyribózu, se rozlišují:
- ribonukleotidy
- deoxyribonukleotidy
Zkratky názvů
Pro zjednodušení názvosloví byly zavedeny čtyř- nebo třípísmenné zkratky. První písmeno je malé a značí, jestli je součástí nukleotidu ribosa (nepíše se nic) nebo deoxyribosa (malé d). Je-li struktura nukleotidu cyklická, označuje se malým c (cyklický adenosin-3‘,5‘-monofosfát = cAMP) Druhé, velké písmeno označuje druh nukleové báze:
Třetí a čtvrté písmeno určují počet fosfátových skupin (mono-, di-, tri-) a přítomnost fosfátu (P). Například deoxycytidintrifosfát má zkratku dCTP.
Anhydridová vazba
Fosfátové skupiny v nukleosiddifosfátech a nukleosidtrifosfátech jsou navázané jedna za druhou anhydridovou vazbou. Ty jsou schopny přenášet funkční skupiny a při hydrolýze těchto vazeb se uvolní velké množství energie (Δ G < −30 kJ/mol. Proto jsou nukleosidy sloučeninami, které umožňují aktivaci reaktantů a průběh endergonických reakcí.
Základní nukleotidy
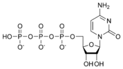
Ribonukleotidy
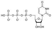
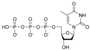
Deoxyribonukleotidy
Koenzymy, jejichž součástí je nukleotid
- aktivní sulfát (adenosin-3'-fosfát-5'-fosfosulfát)
- aktivní methionin (S-adenosylmethionin)
- aminoacyladenyláty
- nikotinamidadenindinukleotid (NAD+)
- nikotinamidadenindinukleotidfosfát (NADP+)
- flavinadenindinukleotid (FAD)
- koenzym A – tvoří například acetylkoenzym A
Související články
Literatura
- MURRAY, Robert K., et al. Harperova biochemie. Z angl. 23. vyd. přel. Jiří Kraml et al. 4. vyd. v ČR. Praha: H & H, 2002. ix, 872 s. ISBN 80-7319-013-3.
- MURRAY, Robert K., et al. Harperova biochemie. Z angl. 23. vyd. přel. Jiří Kraml et al. 3. vyd. v ČR. Praha: H & H, 2001. ix, 872 s. ISBN 80-7319-003-6.
- MURRAY, Robert K., et al. Harperova biochemie. Z angl. 23. vyd. přel. Jiří Kraml et al. 2. vyd. v ČR. Praha: H & H, 1996. ix, 872 s. ISBN 80-85787-38-5.
|
| Náklady na energie a provoz naší encyklopedie prudce vzrostly. Potřebujeme vaši podporu... Kolik ?? To je na Vás. Náš FIO účet — 2500575897 / 2010 |
|---|
| Informace o článku.
Článek je převzat z Wikipedie, otevřené encyklopedie, do které přispívají dobrovolníci z celého světa. |
