The final launch of the Allmultimedia.org will take place on February 24, 2026
(shortly after the 2026 Winter Olympics).
Dovolená : 23. prosinec 2025 — 29. prosinec 2025
Holidays : December 23, 2025 — December 29, 2025
Stupeň vrcholu
Z Multimediaexpo.cz
V teorii grafů se pojmem stupeň vrcholu (někdy též valence vrcholu) označuje počet hran, které do daného vrcholu zasahují. Stupeň vrcholu u se značí deg(u). Přesnější definice závisí na tom, zda je graf orientovaný nebo neorientovaný.
Obsah |
Neorientovaný graf
- \(deg(u) = \left | \{e\in\mathit{E} \mid u\in e\;\}\right |\)
U neorientovaného grafu je stupeň vrcholu počet hran, které do daného vrcholu zasahují. Koncové body smyčky tvoří tentýž vrchol, proto se tato hrana počítá dvakrát.
Orientovaný graf
U orientovaného grafu se rozlišuje tzv. vstupní a výstupní stupeň vrcholu:
- vstupní stupeň
- \(deg^+(u) = \left | \{e\in\mathit{E} \mid \exists v\in\mathit{V}\;:e = (v, u)\;\}\right |\)
- výstupní stupeň
- \(deg^-(u) = \left | \{e\in\mathit{E} \mid \exists v\in\mathit{V}\;:e = (u, v)\;\}\right |\)
U orientovaného grafu jsou hrany orientované, proto se vstupující hrana a vystupující hrany počítají zvlášť. Celkový stupeň uzlu je pak roven součtu vstupujících a vystupujících hran.
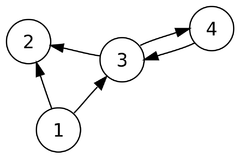
Stupně vrcholů z obrázku vpravo:
| Vrchol | vstupní stupeň | výstupní stupeň |
|---|---|---|
| 1 | 0 | 2 |
| 2 | 2 | 0 |
| 3 | 2 | 2 |
| 4 | 1 | 1 |
Princip sudosti
Tvrzení: V neorientovaném grafu G = (V, E) platí \(\sum_{v\in\mathit{V}}deg(v) = 2\left |E\right |\)
Důkaz: Je to pouze vyjádření faktu, že každou hranu započítáváme dvakrát - jednou ve vrcholu, kde začíná, podruhé ve vrcholu, kde končí.
Poznámka: Pro orientované grafy změníme levou stranu rovnosti v tvrzení na \(\sum_{v\in\mathit{V}}\left (deg^+(v) + deg^-(v)\right )\)
Důsledek: Počet vrcholů s lichým stupněm je sudé číslo. Neboli „počet lidí, kteří si na večírku potřásli ruce s lichým počtem účastníků, je sudé číslo“.
Související články
Externí odkazy
| Náklady na energie a provoz naší encyklopedie prudce vzrostly. Potřebujeme vaši podporu... Kolik ?? To je na Vás. Náš FIO účet — 2500575897 / 2010 |
|---|
| Informace o článku.
Článek je převzat z Wikipedie, otevřené encyklopedie, do které přispívají dobrovolníci z celého světa. |
