Návštěvnost naší encyklopedie dnes trhá všechny historické rekordy !!
Návštěvnost dne 8. března 2026 byla — 612 557 unikátních návštěvníků !
Návštěvnost dne 9. března 2026 byla — 590 729 unikátních návštěvníků !
Návštěvnost dne 10. března 2026 byla — 657 697 unikátních návštěvníků !

Sacharóza

Z Multimediaexpo.cz

Sacharosa

Sucrose

Obecně
Systematický názevα-D-glukopyranosyl-β-D-
fruktofuranosid
Sumární vzorec C12H22O11
Molární hmotnost 342,296 g/mol
Registrační číslo CAS 57-50-01
Fyzikálně-chemické vlastnosti
Skupenstvípevná látka
Hustota 1,587 g/cm3
Teplota tání186 °C
Teplota varu (rozklad)
Rozpustnost ve vodě (25º) 2115 g/l
Optická otáčivost+ 66,47º
Energetická hodnota16,7 kJ/g (4 kcal/g)

Sacharosa, mimo chemii podle PČP sacharóza, v běžné řeči označována jako řepný cukr, třtinový cukr, muskovado, stolní (konzumní) cukr, nebo jen cukr, je nejběžnější disacharid. Skládá se z jedné molekuly glukosy a jedné molekuly fruktosy. V čistém stavu je sacharosa bílá krystalická látka sladké chuti. Uplatnění nachází především v potravinářství, kde se používá jako sladidlo.

Obsah

Struktura

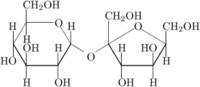
Systematický název sacharosy je α-D-glukopyranosyl-β-D-fruktofuranosid, v přírodě byl objeven zatím pouze jeden enantiomer. Monosacharidy jsou v molekule spojeny glykosidickou vazbou, která vzniká mezi hydroxylovými skupinami na 1. uhlíku α-D-glukosy a 2. uhlíku D-fruktosy, proto je sacharosa neredukující disacharid.

3D molekula sacharózy

Vznik a výskyt v přírodě

Sacharosa je v přírodě velmi rozšířená. Je důležitým metabolickým produktem všech zelených rostlin, kde slouží jako transportní rozpustný sacharid. Vzniká přenosem glukosylového zbytku z UDP-glukosy na fruktosu. Živočichové ji nesyntetizují.

Vyskytuje se ve stoncích, listech a plodech mnoha rostlin. V ČR je hlavním průmyslovým zdrojem sacharosy cukrová řepa (Beta vulgaris), ve světě je to cukrová třtina (Saccharum officinarum) a místně a v menším měřítku i další druhy rostlin jako např. datlovník (Phoenix dactylifera), některé druhy palem a javor cukrodárný (Acer saccharum).

Fyziologie a výživa

Sacharosa se používá jako nejběžnější sladidlo. V těle se enzymaticky štěpí na glukosu a fruktosu, které se dále metabolizují. Ke zmíněné hydrolýze je třeba vitamín B, vápník, hořčík a další látky. Sacharosa neobsahuje žádné pro organismus užitečné látky, je pouze vydatným zdrojem energie. Metabolickým zpracováním 1 gramu sacharosy se uvolní 16,7 kJ (4 kcal) energie.

Nadměrná konzumace sacharosy může být příčinou mnoha zdravotních problémů. Sacharosa je energeticky velmi bohatá, její dlouhodobá vyšší spotřeba může vést až k obezitě. Sacharosa také významně zvyšuje hladinu glukosy v krevní plazmě (má vysoký glykemický index) a má vliv na sekreci insulinu, proto je nevhodným sladidlem pro diabetiky. Dále poškozuje zubní sklovinu a podporuje vznik zubního kazu, protože slouží jako zdroj živin pro ústní bakterie (Leuconostoc mesenterides).

Vzhledem k uvedeným skutečnostem se na trhu stále více prosazují tzv. „light výrobky“, které mají snížený obsah sacharosy. Požadované sladké chuti se většinou dosahuje přidáním umělého sladidla.

Fyzikální vlastnosti

Sacharosa je krystalická látka, dobře rozpustná ve vodě. Rovinu polarizovaného světla stáčí doprava (+ 66,47°). Její hustota je 1,587 g/cm3.

Při zahřívání nad 186 °C taje a mění se v karamel.

Chemické vlastnosti

Hydrolýzou sacharosy vzniká ekvimolární směs glukosy a fruktosy, tzv. invertní cukr. Tato reakce je doprovázena změnou optické otáčivosti z pravotočivé na levotočivou, protože vzniká pravotočivá glukosa a silně levotočivá fruktosa. Hydrolýza může probíhat chemicky v kyselém prostředí, nebo enzymaticky v neutrálním prostředí za přítomnosti enzymu invertasy (sacharasy). Podle podmínek reakce může být inverze částečná, nebo úplná.

Při reakci katalyzované kyselinou sírovou se sacharosa rozkládá až na elementární uhlík.

C12H22O11 → 12C + 11 H2O

Senzorické vlastnosti

Sacharosa je bílá krystalická látka, přičemž jednotlivé krystaly jsou bezbarvé.

Má výraznou sladkou chuť. Používá se jako nejběžnější sladidlo. Slouží také jako standard pro určení relativní sladkosti.

Do distribuce je dodávána v různých formách, nejčastěji jako cukr krystal, cukr moučka, či slisovaná do různých tvarů (viz druhy cukru).

Analytické stanovení

Obsah sacharosy v cukerném roztoku lze stanovit refraktometricky (měření indexu lomu), nebo polarimetricky (měření otočení roviny polarizovaného světla). U složitějších směsí se používá chromatografické stanovení a to především kapalinová chromatografie.

Výroba

Celosvětově se vyrobí více než 140 mil. tun sacharosy ročně. U finálního výrobku nelze určit, zda byl získán z cukrové třtiny, nebo z cukrové řepy, neexistují žádné spotřebitelem zaznamenatelné rozdíly.

V Česku se sacharosa vyrábí z bulev cukrové řepy (Beta vulgaris), které průměrně obsahují 17 % sacharosy. Řepa se nejprve v mechanické pračce zbavuje nečistot, a poté se váží. Takto připravené bulvy se krájí na tenké hranoly, tzv. řízky, které se extrahují vodou při zvýšené teplotě. Tímto vyslazením se získá difúzní šťáva. Zbylé řízky se silážují a používají se jako krmivo. Získaná šťáva se čistí přídavkem vápenného mléka (suspenze hydroxidu vápenatého ve vodě), tzv. čiřením. Tímto procesem se oddělí všechny necukry (bílkoviny, aminokyseliny, polysacharidy, redukující sacharidy), které by bránily krystalizaci roztoku. Přebytek hydroxidu se odstraní oxidem uhličitým, tzv. saturací a produkt se zfiltruje. Tak se získá lehká šťáva a z ní odpařením části vody zahuštěná těžká šťáva, která obsahuje 61-67 % sacharosy. Těžká šťáva se zahřívá na bod krystalizace, tedy na stav, kdy se po skončení varu vylučují krystaly cukru. Opakovanou krystalizací se získá surový cukr, který obsahuje 96 % sacharosy. Může se prodávat jako surový hnědý cukr, nebo se dále čistí afinací (odstředění a promytí vodou a vodní párou), či rafinací (rozpuštění ve vodě a další krystalizace). Zbylý tmavě hnědý až černý sirupovitý cukerný roztok, ze kterého již nelze krystalizací získat sacharosu, se nazývá melasa. Používá se jako cenné krmivo, nebo slouží jako substrát pro řadu fermentačních procesů.

Druhy cukru

Kostkový cukr v Nepálu (2010)

Hnědý cukr má výraznou chuť a aroma. Hnědé zabarvení je způsobeno přítomností zbytkové melasy. Kromě sacharosy obsahuje ještě některé minerální látky (např. draslík, sodík, vápník, hořčík) a některé aminokyseliny.

Krystalový cukr (=granulovaný cukr) zvýrazňuje chuť a zlepšuje texturu potravin. Také ho lze využít jako substrát ve fermentačních procesech. Podle účelu použití se produkují cukry o různé velikosti krystalů.

Moučkový cukr se získává mletím krystalového cukru na jemno. Používá se při přípravě polev a jako přísada do směsí na pečení.

Kostkový cukr vzniká slisováním cukru do různě velkých kostek. Kromě standardní velikosti se často vyrábí i menší kostky, tzv. Mocca, popř. kostky ve tvaru karetních symbolů, tzv. cukr Bridge. Vynález kostkového cukru má domov v Česku, vymyslel ho ředitel Dačické cukrové rafinerie Jakub Kryštof Rad roce 1841.

Invertní cukr vzniká kyselou hydrolýzou sacharosy na glukosu a fruktosu, tuto reakci lze provést i enzymaticky pomocí invertasy (sacharasy). Podle podmínek reakce může být inverse částečná, nebo úplná. Invertní cukr se používá v potravinářství jako sladidlo do nápojů, cukrovinek a sladkého pečiva.

Homolový cukr (=cukrová homole) je cukr slisovaný do různě velkých kuželů, ze kterého se potřebné množství cukru postupně odsekává. Používal se v domácnostech do 19. století, kdy jej začal vytlačovat cukr kostkový a cukr krystalový kvůli praktičtější manipulaci.

Kapalný cukr vzniká rozpuštěním cukru ve vodě. Používá se především jako sladidlo do nealkoholických nápojů.

Sirupy jsou viskózní tekutiny, které mohou být částečně invertované. Přítomnost invertního cukru způsobuje větší odolnost roztoku vůči krystalizaci, proto se sirupy používají převážně do výrobků, ve kterých by krystalizace mohla vadit.

Javorový sirup (Maple syrup) se získává zahuštěním z mízy javoru cukrodárného (Acer saccharum). Jeden litr výrobku se získá odpařením asi 40 litrů šťávy. Hlavním producentem je Kanada, především provincie Québec. Majoritní složkou sirupu je sacharosa (až 96 %), v menší míře může obsahovat i fruktosu a glukosu. Dále obsahuje řadu minerálních látek (vápník, hořčík, zinek, železo, …) a vitamíny řady B. Používá se jako sladidlo při výrobě cukrovinek a sladkého pečiva. V Kanadě a USA se tradičně konzumuje na vaflích a palačinkách.

Hedvábný cukr vzniká krystalizací ze směsi cukr, voda a glukózový sirup. Směs se používá nejčastěji v cukrovinkářském průmyslu k výrobě fondánů.

Tabletované cukry se připravují tabletováním směsi moučkového cukru a maltodextrinu. Používají se v cukrovinkářském průmyslu a ve farmacii.

Použití

Největší uplatnění nachází sacharosa v potravinářství. Používá se především jako sladidlo, ale upravuje i další senzorické vlastnosti potravin. Někdy se přidává jako konzervační činidlo (vyšší koncentrace sacharosy inhibují růst mikroorganismů), nebo naopak slouží jako fermentační substrát v řadě biotechnologiích, např. kvasná výroba ethanolu, výroba pekařského droždí, fermentační způsob výroby kyseliny citrónové apod.

Kromě hojného použití v potravinářství je sacharosa využívána také ve farmacii, kde slouží jako regulátor nepříjemné chuti některých léků. Má také pomocný význam jako plnidlo či pojivo při výrobě některých lékových forem (granulované prášky, tablety, dražé, sirupy…).

Slouží také jako substrát při technologické výrobě řady cukerných derivátů:

Historie

Cukrová třtina je známa v tropických a subtropických oblastech již tisíce let. Její stonky se s oblibou žvýkaly, protože vykazovaly příjemnou sladkou chuť. Až později se z nich začal cukr získávat. Zpočátku jen na Dálném východě, na území dnešní Indie a Číny.

S rozvíjejícím se obchodem se znalost cukru rozšiřovala. Do Evropy ho přinesli Arabové. V důsledku nevhodných klimatických podmínek nešlo cukrovou třtinu v Evropě pěstovat, proto se cukr musel do Evropy dovážet. Nejprve z Asie, později v průběhu středověku z kolonizovaného Karibiku a Jižní Ameriky.

V roce 1747 berlínský chemik Andreas Marggaraf rozpoznal cukr v kořenu cukrové řepy. Zpočátku to byla pouze zajímavost. Výroba cukrové řepy se výrazně rozvinula až za napoleonských válek, kdy bylo přerušeno obchodní spojení s Anglií. Dnes tvoří řepný cukr asi 30 % z celkové produkce cukru. Nejvíce cukru se dnes vyrábí v zemích s teplým klimatem jako je Indie, Čína, Brazílie a v Karibské oblasti.

V historii výroby cukru lze nalézt i českou stopu. V roce 1841 Jakub Kryštof Rad z Dačic vyrobil první kostku cukru. Používání tohoto výrobku, tehdy nazývaného čajový cukr, se rychle rozšířilo a dnes již je prodej kostkového cukru samozřejmostí.

Externí odkazy


Commons nabízí fotografie, obrázky a videa k tématu
Sugar